ピグメントイエロー 97
Pigment Yellow 97 is a bright, durable yellow pigment commonly used in coatings, inks, plastics, and paints. Known for its excellent lightfastness, weather resistance, and non-toxic properties, it offers vibrant color with high opacity. This pigment provides superior color strength and is often chosen for applications requiring consistent, high-quality yellow hues. It’s widely used in industrial sectors such as automotive, textiles, and packaging, offering a reliable and long-lasting color solution. Pigment Yellow 97 is valued for its versatility, environmental safety, and ability to maintain color integrity even under harsh conditions.
| 同義語 | CIピグメントイエロー97; CIPY97; 97 円。 97円 |
| CI番号 | 11767 |
| CAS番号 | 12225-18-2 |
| EU番号 | 235-427-3 |
| 分子式 | C26H27CINN4O8S |
| 化学ファミリー | モノアゾ |
| 色 | ![]() |
| 色相分布 |
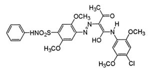
分子構造:

ピグメントイエロー 97 の物理的、化学的および堅牢性の特性
| 分子量 | 591.08 |
| PH値 | 7.5 |
| 密度 | 1.5 |
| 吸油量(ml / 100g)% | 45 |
| 耐光性 | 7 |
| 耐熱性 | 200(℃) |
| 耐水性 | 5 |
| 耐油性 | 4 |
| 耐酸性 | 5 |
| 耐アルカリ性 | 5 |
応用
ピグメント イエロー 97 は、その鮮やかな黄色により、さまざまな業界で応用されています。一般的なアプリケーションには次のようなものがあります。
塗料およびコーティング: ピグメント イエロー 97 は、装飾および保護目的の塗料およびコーティングの配合に使用されます。水性または溶剤系の塗料に混ぜて黄色の色合いを与えることができます。
印刷インク: この顔料は、パッケージ、出版物、その他の印刷物などの用途向けの黄色の印刷インクの製造に利用されます。
プラスチック: ピグメント イエロー 97 は、PVC (ポリ塩化ビニル)、ポリオレフィン、その他のポリマー材料などのプラスチックの着色によく使用されます。プラスチック製品に耐久性のある安定した黄色を与えます。
繊維: 繊維産業では、この顔料は繊維の染色に使用され、繊維や衣類に黄色を与えます。
インクジェット インク: ピグメント イエロー 97 は、さまざまな基材に画像やテキストを印刷するためのインクジェット インクの配合に使用できます。
アーティスト カラー: アーティストや画材メーカーは、油絵の具、アクリル絵の具、水彩絵の具、その他の芸術的媒体の製造にピグメント イエロー 97 を使用できます。
他の用途: この顔料は、化粧品、ゴム製品、特殊コーティングの着色など、安定した鮮やかな黄色が求められる他のさまざまな用途にも使用できます。
関連情報
Pigment Yellow 97 is a hydroxyl-containing polycarboxylic acid that is used in the production of paints and plastics. It has an oxidation potential of +0.6 volts, which indicates that it is reactive. Pigment Yellow 97 has an absorption maximum at 526 nm and a molecular weight of 317.09 g/mol. The chemical structure of Pigment Yellow 97 consists of a molecule with a reactive carboxyl group and a reactive hydroxyl group, as well as an intramolecular hydrogen bond between the two groups. This pigment also forms coordination complexes with metals such as iron oxides to form particle pigments or mixtures with glycol esters to form solid particles or dispersions, respectively.
名前と識別子
IUPAC 名: N-(4-クロロ-2,5-ジメトキシフェニル)-2-[[2,5-ジメトキシ-4-(フェニルスルファモイル)フェニル]ジアゼニル]-3-オキソブタンアミド
InChI=1S/C26H27ClN4O8S/c1-15(32)25(26(33)28-18-12-20(36-2)17(27)11-21(18)37-3)30-29-19- 13-23(39-5)24(14-22(19)38-4)40(34,35)31-16-9-7-6-8-10-16/h6-14,25,31H、 1-5H3,(H,28,33)
インチキー: WNWZKKBGFYKSGA-UHFFFAOYSA-N
正規SMILES: CC(=O)C(C(=O)NC1=CC(=C(C=C1OC)Cl)OC)N=NC2=CC(=C(C=C2OC)S(=O)(= O)NC3=CC=CC=C3)OC
計算されたプロパティ
| プロパティ名 | プロパティ値 |
| 分子量 | 591.0 g/mol |
| XLogP3-AA | 4.6 |
| 水素結合ドナー数 | 2 |
| 水素結合アクセプターの数 | 11 |
| 回転可能な結合数 | 12 |
| 正確な質量 | 590.1238127 Da |
| 単同位体質量 | 590.1238127 Da |
| トポロジカル極表面積 | 162 Ų |
| 重原子数 | 40 |
| 正式な請求 | 0 |
| 複雑 | 974 |
| 同位体原子数 | 0 |
| 定義された原子の立体中心数 | 0 |
| 未定義の原子立体中心数 | 1 |
| 定義された結合の立体中心数 | 0 |
| 未定義の結合の立体中心数 | 0 |
| 共有結合ユニット数 | 1 |
| コンパウンドが正規化されている | はい |











